/data/photo/2018/05/26/2570508629.jpg)
contoh surat rrkomendasi permohonan penambahan pegawai
- Surat resmi biasanya banyak dipakai buat kepentingan instansi, organisasi, keperluan dinas, atau kepentingan antar perusahaan. Meskipun begitu surat resmi tidak harus selamanya disusun oleh kelompok, bisa juga dibuat oleh individu. Tiruan surat resmi yang disusun oleh individu adalah surat permintaan kerja, atau surat pengunduran diri dimana cara penulisan surat tersebut menggunakan format surat resmi yg berlaku & bahasa yg digunakan merupakan bahasa Indonesia yang baik dan betul. Surat ini dibuat dalam berbagai pelaksanaan formal seperti dalam sekolah, dinas ataupun di berbagai instansi pemerintah.
Di paragraf di atas bisa diambil kesimpulan bahwa surat resmi adalah surat yang digunakan dalam berbagai kegiatan resmi baik secara personal, instansiatau organisasi. Surat formal biasanya digunakan untuk menyampaikan informasi tertulis oleh satu pihak ke pihak yang lain. Kegunaan dari surat resmi biasanya mencakup lima hal berikut. Untuk sarana pemberitahuan, buah pemikiran, permintaan, gagasan serta sebagai pedoman kerja.
Meski saat ini telah jarang digunakan dalam komunikasi pribadi sebab telah tergantikan dengan berbagai media lain yang lebih modern. Tetapi utk pelaksanaan yang bersifat resmi tentu dibutuhkan komunikasi lewat surat, sebab bila menggunakan ponsel tentu tampak tidak profesional jadi hendak ditolak. Lalu bagaimana jika tidak dapat membuat surat formal? Tenang saja kami akan memberikan cara membikin surat formal lengkap bersama contohnya. Jadi baca sampai selesai ya.
Berikut ini Kumpulan contoh surat rrkomendasi permohonan penambahan pegawai

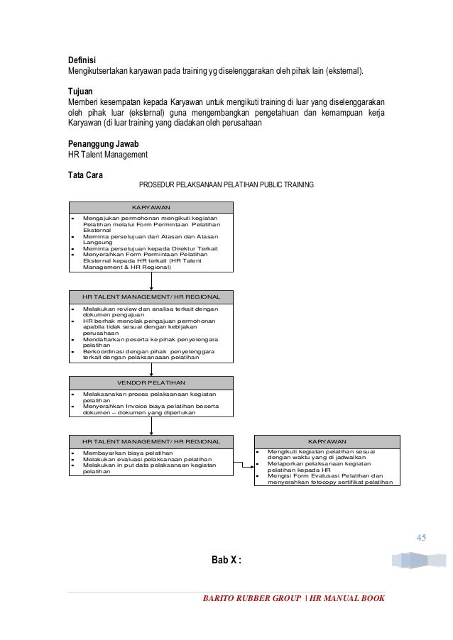
HUMAN RESOURCE MANUAL BOOK Rev 1 via: slideshare.net

17 Contoh Surat Rekomendasi Baik Benar dan yang Disarankan via: moondoggiesmusic.com

HUMAN RESOURCE MANUAL BOOK Rev 1 via: slideshare.net

HUMAN RESOURCE MANUAL BOOK Rev 1 via: slideshare.net

17 Contoh Surat Rekomendasi Baik Benar dan yang Disarankan via: moondoggiesmusic.com

4 Contoh Surat Peringatan Karyawan Beserta Kasusnya KaryaONE via: karyaone.co.id

10 Contoh Surat Permohonan dengan Penulisan yang Baik dan Benar via: balubu.com
Index of wp content 2015 09 via: femac.org.my

Contoh Surat Permohonan Guru Baru SuratMenyurat via: suratmenyurat.net

4 Contoh Surat Peringatan Karyawan Beserta Kasusnya KaryaONE via: karyaone.co.id

11 Contoh Surat Keterangan Kerja Untuk Guru Karyawan dan Pegawai via: romadecade.org

10 Contoh Surat Permohonan dengan Penulisan yang Baik dan Benar via: balubu.com

10 Contoh Surat Permohonan Untuk Berbagai Keperluan Lengkap via: sijai.com

7 Contoh Surat Penawaran Harga Barang Kerjasama dan Jasa File Doc via: jempolkaki.com

6 Contoh Surat Pengantar Terlengkap untuk Berbagai Keperluan via: fahmipedia.com

Index of wp content 2017 04 via: jangkargroups.co.id

10 Contoh Surat Permohonan Untuk Berbagai Keperluan Lengkap via: sijai.com

Pengumuman Perubahan Jadwal Kegiatan Pelatihan dan Sertifikasi via: bpptik.kominfo.go.id

Contoh Surat Pernyataan Perubahan Data Diri SuratMenyurat via: suratmenyurat.net

5 Contoh Surat Rekomendasi yang Banyak Dibutuhkan Notepam via: notepam.com
Demikiancontoh surat rrkomendasi permohonan penambahan pegawai
postingan sederhana tentang cara & contoh surat resmi, semoga bermanfaat. Baca pula postingan lainnya hal cara membikin surah resmi dan non resmi yang baik.

0 Response to "Contoh Surat Rrkomendasi Permohonan Penambahan Pegawai"
Posting Komentar